藻类与藻毒素——环境毒理学结课论文
藻类与藻毒素——环境毒理学结课论文
前言
当知晓本学期末选修课程将会改成课程论文的形式考核的时候我是喜忧参半的,喜的是我对文章的撰写并不排斥,相较于考试,我更愿意将我个人的观点展示出来。忧的则是我深知身为一个本科生哪有什么像样的本事写出一个正儿八经的论文,遑论仅仅是上了一个学期的选修课呢。
思来想去,我还是决定并不按正常的论文格式来完成课程论文,而是按我比较拿手的科普文章来进行写作,希望老师能够理解。当然我也会努力展示我在毒理学课程中所学的内容,同时也会有其他学科的内容参杂其中。
关于主题,其原点自然是微囊藻毒素的毒理学相关研究,微囊藻毒素又只是众多藻毒素中的一种,简要介绍一下其他的藻毒素也是不错的方向,另外恰逢最近对生物演化史有一些了解,于是我决定将藻类在生物演化史里的作用也添加进去,于是这篇文章的思路就如此成型了。
总而言之,在前言写了那么多字的原因还是在不影响文章正文的情况下为自己的一点小小的辩护,希望老师能对我这个不正经的课程论文高抬贵手。
摘要
在我的桌上摆放着一个小瓶子,里面养着两颗球藻,不需要什么特殊的营养物质,只需要水和光照就能它们就能很好的活下去。他们充满着自然的气息,能在学习生活之余为我的生活带来一丝写意与轻松。
相比于我们人类来说,大部分藻类是那么的渺小,但这并不意味着藻类就是真如它的外表一样人畜无害,恰恰相反,由藻类引起的赤潮、水华在上世纪末成为了非常严重的环境问题,藻类们产生的藻毒素也对人们的饮水用水造成了威胁。更为重要的是,回顾地球的生物史,因藻类而灭绝的生物不计其数,人类与之相比都是小巫见大巫的了,甚至连那二叠纪大灭绝都无法与之相比,生命距离消失只差一步。现在就让我们回到过去,去了解那些生命史上的往事吧。
为什么植物会是绿色的?因为植物细胞中的叶绿体吸收太阳光中的蓝紫光和红光反射绿光,使得植物看起来是绿色的。可当我们测定太阳光的能量分布的时候却发现,黄绿光的能量甚至是各种颜色的光中最高的,植物为什么放弃了绿光呢?

有科学家认为,其实在生命早期,古菌其实是利用视黄醛来获取太阳光中的能量的,而视黄醛主要吸收的就是绿光,而反射蓝紫光,在生命初开的地球上,生命所需的甲烷、硫化氢、二氧化碳遍布全球,古菌于是便长满了整个地球,于是地球也随着紫色的古菌变成了紫色的地球,这便是紫色地球的假说。
而我们今天的主角蓝细菌则是属于与古菌相对的另一支真细菌中。真细菌们因为没能在色素的竞赛中抢得先机,在厚实的古菌菌毯下,只有少量的蓝紫光能购抵达,现实逼迫的它们只有利用蓝紫光才能存活下来。在漫长的时间里,真细菌们演化出了以卟啉为基础的叶绿素,这种色素能够利用剩余的蓝紫光,而缺点正是无法把绿光运用好,但在那个时代却不算一个缺点,因为根本就没有绿光可以用。
而且不仅仅是光,拥有先发优势的古菌可以利用大气中的硫化氢轻松的获得氢离子,而蓝细菌只能转而寻找一种硫化氢的替代品,经过漫长的演化之后,他们终于找到了那个替代品,那就是水。他们利用光来把水“劈开”,而这个过程最大的“副产物”就是氧气这个生命之敌,氧气会氧化组成生命的所有有机物,但彼时的地球上充斥着还原性的物质。但没关系,因为蓝细菌们不断产生氧气的过程不是一年、不是一千年、而是将近十亿年。海水中数以亿计的亚铁离子被氧化成了氧化铁,在地层中形成了带状铁矿,大气中的硫化氢被氧化随着雨水成为硫酸盐,曾经在大气中无处不在的甲烷变得无影无踪,当冰层记录中第一抹氧气出现的时候,一场生命的变革开始了,这就是以蓝细菌为代表的真细菌带来的改变。
但这种改变是毁灭性的,氧气可以氧化组成生命的基本物质,包括古菌在内的所有生物们遭到了重要的打击,更为致命的是,光合作用使得大气中的二氧化碳与甲烷这两种温室气体的浓度大幅度下降,而地球也在绝境中加了一把火,此时地球的火山活动在此时陷入了低谷,失去了温室气体,地球的温度极具下降,就连赤道都被冰雪覆盖,这就是休伦冰河期。在长达2.5亿年前的冰河期下,所有的生命命悬一线,可能只在几个火山热泉口附近苟延残喘。
但氧气的出现也让大型多细胞生物的出现成为了可能,2.5亿年的漫长冰期下的海面,有一些细菌掌握了运用氧气获取能量的方法,
有一些古菌进化出了内膜系统,把细胞内部分成了不同的房间,同时把最重要的染色体保护了起来。有了内膜系统,他们可以利用胞吞一口吃掉食物。在漫长的时间里,有一个古菌在胞吞了一个学会了有氧呼吸的细菌的时候不知道为什么没有将其消化掉,从此他们便长久的共生了下去,至此真核细胞产生了。而其中有一些真核细胞在偶然间又吃掉了蓝细菌,恰巧又没有将其消化掉,于是真核生物第一次掌握了光合作用,绿藻和红藻登上了舞台。在寒武纪,又有一些真核生物吞噬了绿藻,从此裸藻出现了。在奥陶纪,又有一些真核生物吞噬了红藻,褐藻和硅藻也出现在了这个世界上。真细菌和古菌的战争最后的结果是一起携手走向未来,但那抹紫色终究是不复存在了,一个崭新的绿色地球出现了。
时间回到休伦冰期后,蓝细菌是这个氧气地球的创造者、这场氧气浩劫的创造者,然而它觉得还不够,它又一次站到了生物的对立面。蓝细菌由于细胞微小繁殖迅速,总是能够浮在海面上层,甚至于当他们死后,他们的尸体仍然会悬浮在海面上很久,昔日的反抗者成为了那个阻挡阳光的人。而更多的微生物们为了享受蓝细菌的残骸而压榨干水里的氧气,这导致地球在很长一段时间氧气都保持着一个较低的浓度,而生物们的大小不超过几千个细胞。随着火山活动的剧烈,另一场称之为雪球地球的冰河期再次出现,生命看似再次陷入绝境。
但在冰河之下,新的生命出现,一种名叫奥塔维亚的原始海绵在艰难的环境下发展壮大,它们的结构决定了它们食谱中最主要的就是蓝细菌,这一次将近一亿年的冰河期让蓝细菌为真核藻类腾出了舞台,当地球解冻之时,真核藻类第一次成为了光合作用的主力。而它们较大的细胞使得在死后还来不及被分解便沉到了海底成为了石油,这让海水里的氧气浓度足以支撑大型动物的产生。其后地球经过数次版本更新,各路霸主你方唱罢我登场,奇虾、三叶虫、昆虫、恐龙……一直到8亿年后,人类出现。
在很早的时候,人类与藻类是能够和平共处的,毕竟当时的人类连自己的很难养活。但随着生产力不断地发展,化肥、工业废水的出现使得藻类成为了一个突出的问题,对于藻类来说,这些丰盛的自助餐就是上天的恩赐,于是乎哪里有富含氮和磷的水体里,藻类们玩命的繁殖,形成了赤潮和水华。严格来说,赤潮指的是海水里大量藻类繁殖,主要是甲藻、硅藻,包括红色中缢虫。而水华则发生在淡水中,主要是蓝细菌,也有可能是绿藻。
藻类大量繁殖的后果我们是有前车之鉴的,如果蓝细菌繁殖过多,那么水体里的氧气就会被榨干,没有任何一个大型水生生物能够存活。而且蓝细菌们在死后会释放体内的藻毒素,会对人们的饮水用水产生重大威胁。
藻毒素是一个非常大的统称,毕竟藻类都有很多种类,这其中蓝藻毒素是研究最深的。按毒性机理不同,可以分为作用于肝脏的肝毒素,作用于神经系统的神经毒素,作用于细胞壁外层的脂多糖内毒素,以及会引起炎症的皮肤毒素。
先从听起来最吓人的神经毒素开始吧,鱼腥藻毒素-a是其中的代表,按照化学的命名习惯,这种毒素很有可能是先在鱼腥藻里发现的,而事实也确实如此,不仅在鱼腥藻里,颤藻、束丝藻、柱孢藻、微囊藻都发现了这种毒素。这种毒素就像一个欺诈师,把自己伪装成重要的神经递质乙酰胆碱,与乙酰胆碱受体结合产生神经冲动,最为致命的是,真正的乙酰胆碱用完之后就会被专属的酶分解掉,但鱼腥藻毒素-a没有酶能降解它。所以它会使肌肉过度兴奋而痉挛,如果动物的呼吸系统受到影响,就会窒息而亡。神经毒素中还有一种叫鱼腥藻毒素-a(s)别看只是名字多了一个(s),他们的毒性机理完全不一样,有s的鱼腥藻毒素能够阻止乙酰胆碱的分解使肌肉过度兴奋,最后的后果也可能是窒息而亡。有了伪装成乙酰胆碱的毒素、有了阻止乙酰胆碱的毒素,还能怎么玩呢?石房蛤毒素说我可以抑制动作电位的产生,使乙酰胆碱不能释放,这样就会导致神经麻痹。
蓝藻毒素神经毒素的机理非常多,但他们的危害性还在人类可以接受的范围内,因为虽然对人类来说具有不小的神经毒性,但他们不是很稳定,释放到水里一天就所剩不多了。
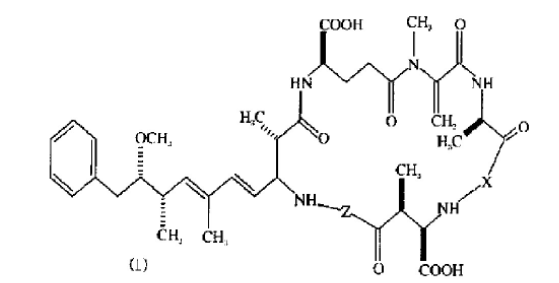
而肝毒素则是目前研究较多的领域,其中比较有代表性的是微囊藻毒素,1996年巴西Caruaru的肾透析中心,113名患者使用了被微囊藻毒素污染的水后,出现了急性肝衰竭的症状,最终52名患者被归咎为死于微囊藻毒素中毒。而在非洲博茨瓦纳西北部出现大象神秘死亡的事件,其原因也被认定为微囊藻毒素中毒。那么微囊藻毒素是什么呢,下面就是他的结构图:
可以看到微囊藻毒素最突出的特点就是他拥有一个环,这个环是由肽键连接构成的,在有机化学中,环状往往意味着稳定,微囊藻毒素能在300°C的情况下很长时间不分解,尽管他们是多肽结构,但普通的蛋白水解酶对它们不起作用,故微囊藻毒素的去除是一个很大的课题。可能的方向有原理较为简单的活性炭吸附,也可以是高级氧化,当然也有文献指出一些微生物可以在特定条件下降解微囊藻毒素。

微囊藻毒素主要的打击对象是肝脏,当微囊藻毒素进入肝细胞后,他会抑制蛋白磷酸酶的活性。虽然它只作用于若干种蛋白磷酸酶中的两种,蛋白磷酸酶1和蛋白磷酸酶2A,但也足够了,这种抑制会导致肝细胞内多种蛋白质的过磷酸化,造成细胞内一系列生理生化反应紊乱,最后就会导致肝细胞变形。微囊藻毒素的促肿瘤作用也是通过这个过程实现的。同时微囊藻毒素还会影响巨噬细胞,引起肝炎症、肝损伤或者肝坏死。
目前共发现有60种微囊藻毒素,其中微囊藻毒素-LR在世界卫生组织制定的饮用水中最高允许含量为1μg /L。同时微囊藻毒素被认为是潜在的促肿瘤剂,若考虑促肿瘤作用,则微囊藻毒素-LR的最高允许含量为0.3μg/L。
我们关心藻毒素的原因不光是它会影响饮水用水,而且藻类作为食物链的底层,藻毒素可以被富集。太湖的蓝藻水华非常严重,有研究者测量太湖内河蚬、河蚌的微囊藻毒素含量,并进行健康风险评价,得出的EDI>0.7,人类使用河蚌水产品具有一定潜在健康风险。

而除了蓝藻毒素外,诸如硅藻、红藻也会产生一些藻毒素,比如软骨藻酸可以导致神经混乱、意识混乱。而另外一些藻毒素可能对于人类的危害相对较小,但是对鱼类有很大的毒性,会严重危害沿海渔业。
参考文献
[1]淡水水体中的蓝藻毒素研究进展(综述)[J].韩志国,武宝轩,郑解生,谢隆初.暨南大学学报(自然科学与医学版).
2001,(03)
[2]太湖贝类中微囊藻毒素的测定与健康风险评估[J].郭雅欣,钱宗耀,龚婷婷,鲜啟鸣.环境化学.
2020,39(10)
[3]微囊藻毒素的产生、检测和毒理学研究[J].李效宇,宋立荣,刘永定.水生生物学报.
1999,(05)
[4]有毒赤潮藻及其毒素的危害与检测[J].杜伟,陆斗定.海洋学研究.
2008,(02)
[5]蓝藻毒素及其分析方法(英文)[J]. 吉云秀,公维民.
大连海事大学学报. 2003(S1)
[6]蓝藻毒素的环境行为及其处理方法研究进展[J]. 周红艺,王雪荣.
浙江工业大学学报. 2008(05)
[7]蓝藻毒素的类型及其产毒基因[J]. 汪洋,李樾,冯悦,张阿梅,夏雪山,刘丽. 生态学杂志. 2017(02)
[8]试析蓝藻毒素的监测及水华暴发的应急方案[J]. 梁雅婷. 当代化工研究. 2021(02)
[9]太湖重污染湖区和水源地水质概况及藻毒素污染环境风险[J]. 姜锦林,周军英,刘仁彬,单正军,王晓蓉.
生态毒理学报. 2019(03)
[10]夏秋季太湖4个控藻区鳙体内微囊藻毒素累积分析[J].
高鸽,周游,王小林,沈振华,陈永进,徐东坡. 大连海洋大学学报. 2017(03)
[11]福建沿海市售海产贝类微囊藻毒素的污染状况[J]. 汪靖,郑竟,鄢灵君,陈华. 环境与职业医学. 2016(11)
结语
一边是五次大灭绝、八亿年的时光都没有毁灭掉的蓝细菌,另一边是仅仅一万年就将脚步踏遍了全球的人类,这一场藻类与人类的战争注定将是一场持久战,不如说环保本身就是一场持久战。这场战争,不是人类放弃一切科技回到原始社会就能解决的,反而应该积极的去面对它,含磷的洗衣粉已经被丢进了历史的垃圾桶里,但不意味着我们就应该马上取缔所有的化肥,毕竟世界上还有很多国家的人们甚至没法吃上饱饭。严加控制、科学防控是我们现在应做的,而在未来,我相信我们能够有更好的手段来同时解决粮食和富营养化的问题,或许有一天,藻毒素也将成为有用的物质造福人类。
